1. 래치 (Latch)
래치는 인에이블(허용)이 되면 레벨을 감지하여 입력값을 출력으로 계속해서 전송한다. 클럭 입력을 갖지 않은 쌍안정 회로인데 플립플롭과 유사하나 클럭이 없으므로 비동기식 순차 논리회로 소자이다. 조금 바꿔 말해 래치에 클럭이 결합되면 플립플롭이 되는 것이다.
대표적인 특징으로는 입력되는 펄스를 유지하고, 기억/저장하는 기능이 있다. 종류로는 인버터형 래치, SR래치, D래치가 있다.
2. 인버터형 래치
입력 신로를 계속 가하지 않아도 디지털 값을 유지한다. 레이싱(racing)이라는 개념만 알고 넘어가도 될 것 같다. 레이싱이란 출력이 일시적으로 충돌하면서 순간적으로 많은 내부 전련 소모가 발생하는 것을 말한다

3. NAND형 SR 래치
SR이란 Set과 Reset을 의미한다. Set은 1을 의미한다. 아래는 SR의 조합에 따라 상태가 출력이 어떻게 바뀌는지 보여준 것이다. 이때 주의해야 할 것은 입력으로 inverting 된 값이 들어간다는 것이다. (게이트 없고 레이싱이 없는 래치)


4. NOR형 SR래치
NAND형과 유사한데 입력이 inverting 되지 않고 그대로 들어가는 것이다. 위와 마찬가지로 게이트가 없는 회로다



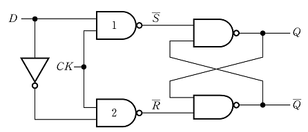
5. D형 래치
출력 Q는 게이트 지연 이후에 입력 D와 같은 데이터를 저장한다. D는 Data의 약자로 하나의 입력을 가지고 새로운 나타낸다. 입력과 출력이 동일하다고 볼 수 있다.


D래치에는 클럭을 붙여서 더 보자면, 아래와 같은 회로가 나오는데.
CK가 0이라면, 입력이 11인 NAND형 SR래치와 같다. 입력이 11일 때는 SR래치에서 이전 값을 유지한다.
CK가 1이라면, 입력은 D값을 그대로 따라간다.



CK가 H인 구간에서는 출력이 입력에 대해 투명하므로 입력값이 그대로 출력되고 CK가 L인 구간에서는 입력을 차단한다고 볼 수 있다.
[정보통신기사] 가용성, 신뢰성 - MTBF, MTTR, MTTF 차이 및 기출문제
[정보통신기사] 가용성, 신뢰성 - MTBF, MTTR, MTTF 차이 및 기출문제
■ MTTR (Mean Time To Repair)기계설비가 고장을 일으켜, 고장을 수리하는 데 걸리는 시간(고장 수리시간으로 고장이 발생한 경우, 고장을 해결하는 데 걸리는 시간) ■ MTTF (Mean Time To Failure)기계설비
infoofit.tistory.com
[정보통신기사] 데이터 통신 - 데이터 흐름 방향, 네트워크 평가 기준, 연결 유형, 접속형태, 회선교환망, 패킷교환망
[정보통신기사] 데이터 통신 - 데이터 흐름 방향, 네트워크 평가 기준, 연결 유형, 접속형태, 회선
A. 데이터 통신전기 통신(telecommunication, 원격통신): 먼 거리에서 행해지는 통신데이터(data): 데이터를 만들어 사용하는 사용자 간에 합의된 형태로 표현된 정보데이터 통신(data communication): 통신매
infoofit.tistory.com